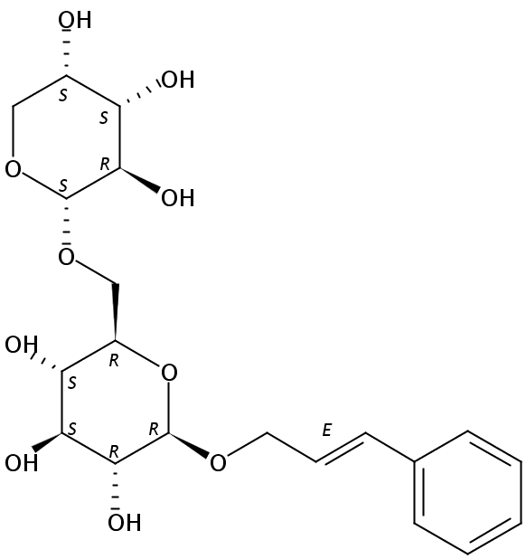
Rosavin

Molecular Structure:    
  • Cat. #:    APC-380
  • Product:    Rosavin
  • CAS No.:    84954-92-7
  • Molecular Formula:    C20H28O10
  • Molecular Weight:    428.4303g/mol
  • Chemical Name:    2-(3-phenylprop-2-enoxy)-6-[(3,4,5-trihydroxyoxan-2-yl)oxymethyl]oxane-3,4,5-triol
  • Specification:    98%min by HPLC
  • Availability:    10mg, 20mg, 50mg, 100mg, 500mg, 1g, 5g, 10g
  • Grade:    R
    Product References:     Rosavin;This Phytochemical is for R&D only and we currently offer only at above mentioned quantity. If you have commercial & bulk demand for it, we are also very happy to do the enlarged production at industrial scale for your esteemed company.
 
Inquiry Online Now  or
By email: info@aktinchem.com
By Phone: (86)28-85159085