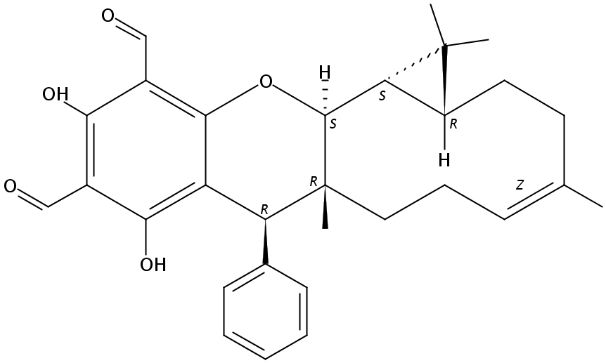
Psiguadial D

Molecular Structure:    
  • Cat. #:    APC-1321
  • Product:    Psiguadial D
  • CAS No.:    1402066-95-8
  • Molecular Formula:    C30H34O5
  • Molecular Weight:    474.59 g/mol
  • Specification:    95%min by GC
  • Packing:    10mg, 20mg, 50mg, 100m
  • Availability:    In stock
    Product References:     Psiguadial D | 1402066-95-8 | In Stock | Aktin Chemicals Inc
 
Inquiry Online Now  or
By email: info@aktinchem.com
By Phone: (86)28-85159085