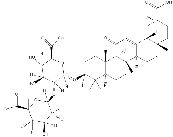
Glycyrrhizic acid

Molecular Structure:    
  • Cat. #:    APC-140
  • Product:    Glycyrrhizic acid
  • CAS No.:    1405-86-3
  • Molecular Formula:    C42H62O16
  • Molecular Weight:    822.9320g/mol
  • Plant Source:    Glycyrrhiza glabra (liquorice) root
  • Part Used:    Roots
  • Specification:    98%min by UV
  • Availability:    In stock
  • Application:    Inhibits liver cell injury for the treatment of chronic viral hepatitis and cirrhosis
  • OtherName:    Epigen, Glycyron
    Product References:     Glycyrrhizic acid ∣1405-86-3∣Aktin Chemicals,Inc
 
Inquiry Online Now  or
By email: info@aktinchem.com
By Phone: (86)28-85159085