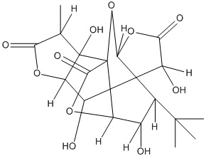
Ginkgolide C

Molecular Structure:    
  • Cat. #:    APC-126
  • Product:    Ginkgolide C
  • CAS No.:    15291-76-6
  • Molecular Formula:    C20H24O11
  • Molecular Weight:    440.3980g/mol
  • Specification:    98%min by HPLC
  • Availability:    10mg, 20mg, 50mg, 100mg, 500mg, 1g, 5g, 10g
  • Grade:    R
    Product References:     Ginkgolide C;This Phytochemical is for R&D only and we currently offer only at above mentioned quantity. If you have commercial & bulk demand for it, we are also very happy to do the enlarged production at industrial scale for your esteemed company.
 
Inquiry Online Now  or
By email: info@aktinchem.com
By Phone: (86)28-85159085