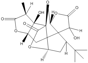
Ginkgolide A

Molecular Structure:    
  • Cat. #:    APC-124
  • Product:    Ginkgolide A
  • CAS No.:    15291-75-5
  • Molecular Formula:    C20H24O9
  • Molecular Weight:    408.3991g/mol
  • Specification:    98%min by HPLC
  • Availability:    10mg, 20mg, 50mg, 100mg, 500mg, 1g, 5g, 10g
    Product References:     Ginkgolide A;This Phytochemical is for R&D only and we currently offer only at above mentioned quantity. If you have commercial & bulk demand for it, we are also very happy to do the enlarged production at industrial scale for your esteemed company.
 
Inquiry Online Now  or
By email: info@aktinchem.com
By Phone: (86)28-85159085