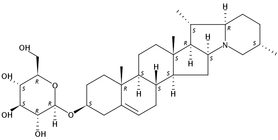
gamma-Chaconine

Molecular Structure:    
  • Cat. #:    APC-1277
  • Product:    gamma-Chaconine
  • CAS No.:    511-36-4
  • Molecular Formula:    C33H53NO6
  • Molecular Weight:    559.78 g/mol
  • Specification:    98% min by HPLC
  • Packing:    10mg, 20mg
  • Availability:    In stock
  • Grade:    For research only
    Product References:     gamma-Chaconine | 511-36-4 | In Stock | Aktin Chemicals Inc
 
Inquiry Online Now  or
By email: info@aktinchem.com
By Phone: (86)28-85159085