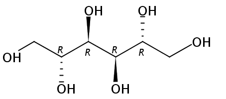
D-Mannitol

Molecular Structure:    
  • Cat. #:    APC-367
  • Product:    D-Mannitol
  • CAS No.:    69-65-8
  • Molecular Formula:    C6H14O6
  • Molecular Weight:    182.1718g/mol
  • Chemical Name:    (2R,3R,4R,5R)-hexane-1,2,3,4,5,6-hexol
  • Specification:    98.0%-102% by Titration
  • Availability:    Research and Bulk Quantity
  • Grade:    R
    Product References:     D-Mannitol ∣69-65-8∣Aktin Chemicals,Inc
 
Inquiry Online Now  or
By email: info@aktinchem.com
By Phone: (86)28-85159085