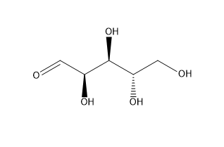
L-(+)-Arabinose

Molecular Structure:    
  • Cat. #:    AKA-120
  • Product:    L-(+)-Arabinose
  • CAS No.:    5328-37-0
  • Molecular Formula:    C5H10O5
  • Molecular Weight:    150.13 g/mol
  • Chemical Name:    (2R,3S,4S)-2,3,4,5-tetrahydroxypentanal
  • Specification:    98%min by HPLC
  • Packing:    10mg, 20mg, 50mg, 100mg, 500mg, 1g, 5g, 10g
    Product References:     L-(+)-Arabinose | 5328-37-0|  In Stock | Aktin Chemicals Inc
 
Inquiry Online Now  or
By email: info@aktinchem.com
By Phone: (86)28-85159085