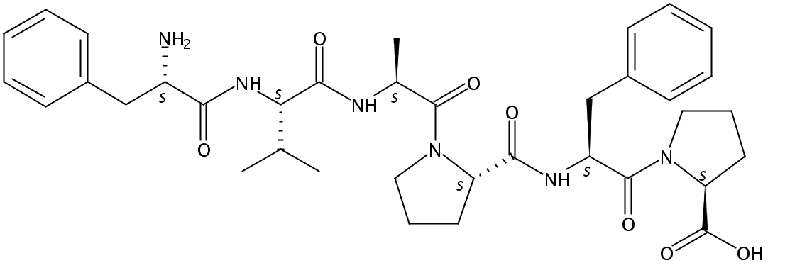
Hexapeptide-11

Molecular Structure:    
  • Cat. #:    AKA-81
  • Product:    Hexapeptide-11
  • CAS No.:    161258-30-6
  • Molecular Formula:    C36H48N6O7
  • Molecular Weight:    676.80 g/mol
  • Chemical Name:    L-Phenylalanyl-L-valyl-L-alanyl-L-prolyl-L-phenylalanyl-L-proline
  • Specification:    98% min by HPLC
  • Packing:    Research and bulk quantity
  • Availability:    In Stock for prompt delivery
  • Biological Activity:    Skin Tightening
  • Application:    Cosmetics
    Product References:     Hexapeptide-11 | 161258-30-6 | In Stock | Aktin Chemicals Inc
 
Inquiry Online Now  or
By email: info@aktinchem.com
By Phone: (86)28-85159085